How are thinning and felling treatments simulated in the growth simulator SIBYLA?

The model is based on the methodology of Fabrika (2005) and is linked to several partial models: a model of tree bio-sociological position, a model of tree score of existence, and a model of treatment intensity.

How is tree bio-sociological position calculated?

A simplified classification scale of Konšel (1931) is applied:

  • 1 ... dominant trees 

  • 2 ... co-dominant trees 

  • 3 ... intermediate trees 

  • 4 ... shaded trees 

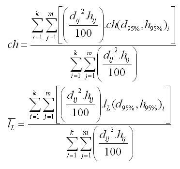
The algorithm of tree classification (Figure 1) is based on the calculation of the top diameter and the top height of all trees in the stand (d95%,h95%) as 95% quantile. In the next step, an average height to crown base of the dominant crown (ch) and an average length of the sunlit part of the dominant crown (lL) are calculated as: 

where dij and hij are tree diameters and heights, respectively, k is the number of tree species in the stand, m is the number of trees of a particular tree species, and ch(95%)i and lL(95%)i are the modelled height to crown base and modelled length of the sunlit part of the crown, respectively, simulated for the tree of the particular tree species having the top height and the top diameter. The final classification of the tree follows the classification formula:

Figure 1 Algorithm of tree classification into bio-sociological classes 

 What is the existence score of a tree?

Tree existence score is a fuzzy value, which facilitates the selection of trees for specific treatments. It can obtain values in the range from 0 to 1. The higher the value of the score, the greater the chance that the tree stays in the forest, and vice-versa, a lower score increases the chance that the tree will be removed from the forest. The calculation of the existence score is based on the competition pressure, the assessment of tree quality and tree vitality, and the examination whether the tree is alive or dead. 

The score of competition pressure is calculated as:

where zAlfa/2 is the critical value of the deviation of the actual competition pressure from the average competition. 

The score of tree quality is calculated as:

where rI-IIIA is the percentual proportion of the most valulable assortments (I+II+IIIA) from tree volume, and is calculated from tree assortment models (Petráš and Nociar 1990, 1991).

The score of tree vitality is calculated as:

PV = rV

where rV is the reduction factor of tree vitality calculated from the tree crown lateral area (cS).

The score of tree mortality is given in a boolean form: 0 if the tree is dead, and 1 if the tree is alive.

The final existence score of the tree is determined by means of aggregation according to Reynolds (1999):

SCORE = MINP + (AVGP - MINP) . MINP

where MINP is the minimum value of the above score values, and AVGP is their arithmetic mean. All coefficients of the above relationships are published in Fabrika (2005) and Fabrika and Ďurský (2005)

The marginal existence score is of specific importance, as it represents a fixed value, which cannot be exceeded when selecting a tree. The value is defined by a user. For example, if the value is equal to 0.7 and the trees of poor quality are to be selected, the trees with the value above 0.7 may not be included, an vice versa, when selecting the trees of the top quality (e.g. future crop trees, or plus trees) no trees with the score value below 0.7 can be included. In both cases, if the specified value of the marginal existence score is exceeded, the selection process is stopped. 

How is treatment intensity modelled? 

The algorithm that determines the amount of trees to be removed or to be supported differs depending on the treatment variant. The model offers the following variants:

A. Thinning percentage

Thinning percentage represents the relative amount of felled volume in per cents. It can be either static, i.e. given for a particular simulation period, or dynamic, i.e. modelled in relation to the value of the chosen growth variable x (age, mean diameter, mean height, top height). In order to model dynamic thinning percentage, a suitable function chosen from the model menu (Table 1) can be utilised:   

%VP = Additivity + f(x) . Multiplier

 where Additivity is a constant (by default 0), and Multiplier is an index (by default 1). The additivity and multiplier move the function along the axis y in absolute or relative values according to the requirements. 

The final volume of the secondary crop is calculated from the initial volume of the dominant crop as follows:

VP = VZ . %VP : 100

By default, the growth simulator SIBYLA applies the model of decennial thinning percentage of Halaj et al. (1986), in which the percentage is related to stand age of all modelled tree species, site classes, and degrees of stand density.  

Table 1 Menu of mathematical functions f(x) in SIBYLA

B. Development curve of the main crop

The curve simulates the development of a variable in the main crop YH (volume, basal area, number of trees) related to the value of the selected growth variable (age, mean diameter, mean height, top height):

YH = f(x)

For the description of this relationship, any function from Table 1 can be selected. The final amount of the applied treatment is calculated on the base of the initial value of the dominant crop YZ and the area of the simulation plot in hectares (P) as follows:

YP = YZ - [ Additivity + f(x) . Multiplier ] . P ; valid for YP > 0

By default, the growth simulator SIBYLA applies the model of the development of the main crop volume according to yield tables (Halaj et al. 1987), which depends on stand age of all modelled tree species, site classes, and average stand volume level.

C. Stand density of main crop

This parameter represents the required relative degree of stand density. It can be either static, i.e. given for a particular simulation period, or dynamic, i.e. modelled in relation to the value of the chosen growth variable x (age, mean diameter, mean height, top height). Dynamic stand density can be modelled by a suitable function chosen from the model menu (Table 1):   

SD = Additivity + f(x) . Multiplier

The final volume of the secondary crop is calculated from the initial volume of the dominant crop as follows:

VP = VZ - SD . VH(RT) . (%R : 100) . P ; platí pre VP > 0

where VH(RT) is volume of the main crop per hectare at full stand density and 100% tree species composition derived from yield tables (Halaj et al. 1987). By default, the growth simulator SIBYLA applies the development of the tabular critical stand density according to Halaj (1985) that is related to stand age separatelly for all modelled tree species.

D. Volume of secondary crop

This is the simplest variant defined directly by the amount of volume to be felled in cubic metres in the particular period, while the specified volume refers to the actual tree species composition, actual stand density, and the size of the simulation plot. 

E. Number of target (or promising) trees 

As input, this model requires the number of future crop trees (NBRS . ha-1). The reduction of the number of trees on the area of the simulation plot is performed as follows:

NBRS = (NBRS . ha-1) . P

F. Target distance between crop trees

This variant requires to specify the theoretical distance between future crop trees in metres (aBRS2). The target number of trees in the simulation plot is calculated as: 

NBRS = (10000 : aBRS2) . P

G. Clearing radius

It is necessary to specify the radius of the circle around future crop trees in metres, in which no trees can exist. In this circle, all trees (except for the future crop tree) are felled regardless of their dimensions, competition pressure, quality, or vitality degree.  

 H. Degree of release 

In this case, treatment intensity is specified by the number of removed trees per one crop tree. Around each crop tree, a pre-defined number of competitors is felled. In order to decide which trees are the strongest competitors, the algorithm by Johann (1982) is applied. The algorithm is based on the calculation of A-value for each potential tree:

where aij is the distance between the assessed future crop tree (j) and the potential competitor (i), Hj is the height of the future crop tree, Dj is the diameter of the future crop tree, and di is the diameter of the potential competitor. The greater the A-value, the higher the competition of the potential competitor. The principle of the method is that the specified number of the competitors with the highest A-value is removed.  

I. Marginal distance

In this case, thinning intensity is also based on the method of Johann (1982). Unlike above, this variant requires the A-value to be determined, not the number of trees. The marginal distance is calculated from the A-value, the diameter and the height of the future crop tree, and the diameter of the potential competitor as follows:

If the actual distance between the crop tree and the potential competitor is lower than the marginal distance, i.e. aij < distij , the competitor is removed. Lower A-value indicates more intense thinning. On the base of the A-value, Johann defined different degrees of thinning intensity (Table 2), which are also applied in the growth simulator SIBYLA. 

J. Target removal percentage 

The principle of this variant is that the percentual amount of trees (%dmax) with the diameter greater than or equal to dmax is felled. Hence, the treatment intensity depends on the number of trees that reached or exceeded the target diameter dmax and the percentage of removed trees:

where n(di >= dmax) is the number of trees with the diameter greater than or equal to the target diameter.

K. Removal curve

The removal curve assigns the amount of removal to individual diameter classes on the base of the excess of the theoretical diameter frequency curve. Two variants are provided: 

1. GEOMETRICAL DESCENDING SERIES of Liocurt.

The inputs of the model are the rotation dimension (dmax) and the target number of trees with the rotation dimension (nd max). In the first step, an average quotient of the geometrical descending series is determined as:

where nJ stands for the number of trees of the particular tree species in ith diameter class, while each diameter class is 4 cm wide, and the first diameter class 2 is in the range (0;4>. Extreme qi values, i.e. the values below 1 and above 2 (inclusive), are excluded. For the calculation of the theoretical frequency in diameter classes, the geometrical descending series is used: 

 

where mi is the theoretical frequency of the particular tree species in ith diameter class, and k is the order of the diameter class, to which the tree with the rotation dimension belongs: 

while delta is the accuracy of the diameter dmax (=0.1 cm), and trunc is the function for trimming the integral part of the result from the decimal part. The number of trees removed from individual diameter classes specifies a so called removal curve, while the number is determined by comparing the actual tree species frequency in the diameter class (ni) with the modelled frequency (mi): 

yi = ni - mi ; platí pre yi > 0

2. REGRESSION MODEL OF FREQUENCY CURVE

In this variant, a theoretical curve of frequency distribution is directly specified using the regression model: 

m = Additivity + f(d1.3) . Multiplier

where m is the number of trees with the diameter d1.3. Any function from Table 1 can be applied (although Weibull and Meyer functions are the most suitable). The resulting removal curve is calculated as:  

yi = ni - m(di) . h ; valid for yi > 0

where m(di) is the number of trees derived from the model of frequency function for the middle of ith diameter class and h is the width of the diameter class (4 cm). By default, the growth simulator SIBYLA provides the sample curves for selection forests of types A to E according to Meyer (1952).    

L. Size of the cutting element

In this case, treatment intensity is specified by the shape, size, and position of the cutting element. The cutting element can take either the form of the so called patch cutting (circle) or the form of strip cutting (strip). The circle is defined by the coordinates of the central point (XOP , YOP), as well as by inside and outside diameters (D1 , D2). The outside diameter D2 specifies total patch size. The inside diameter D1 serves for the protection of the inner part of the patch, and is used when the first patch is enlarged for the next outer fringe area. If the whole stand inside the patch is to be removed, the inside diameter D1 equals to 0. When applying this cutting type, the distance of each tree characterised by coordinates xi and yi from the central point of the patch is calculated as follows:

 

All trees having the diameter that fulfils the condition below are removed from the forest: 

In the case of strip cutting, the strip is defined by a point with coordinates XOP and YOP, through which the central axis is running, by its inside and outside width (D1 , D2), and by the azimuth measured from the north, i.e. by the angle Alpha measured clockwise starting from the positive axis y. The outside strip width represents the total width of strip cutting. The inside width defines the central part of the strip, which is kept away from felling. It is used when the original strip is enlarged by next cutting elements outwards from the previous cutting. When the whole strip width is to be cut, D1 is equal to 0. The trees are selected for cutting as follows. First, the perpendicular distance from the strip axis is determined for each tree:

The tree is cut if its perpendicular distance meets the condition below:

Figure 2 The principle of determining the size of the cutting element

What types of thinning and felling treatments can be simulated?

 Thinning from below

First, each tree is assigned its bio-sociological position (BIOSOC), and its score of existence is calculated. On the base of the variable BIOSOC, two sub-groups are created: (4+3) and 2. In both sub-groups, trees are ranked in ascending order of the existence score. Next, thinning intensity is calculated by applying one of the selected variants (A, B, C, D). It is expressed as the number of thinned trees, or volume, or basal area depending on the given conditions. Afterwards, a sequential removal of trees with the lowest existence score is performed. The removal starts in the sub-group of shaded and intermediate trees (4+3), and after this group is exhausted, the removal proceeds by selecting the individuals from the sub-group of co-dominant trees. The selection of thinned trees is repeated until the required thinning intensity is met. If the trees of the top quality are to be left in the sub-groups, marginal score of existence can be specified, as it ensures that the selection of trees in the sub-groups is stopped when the tree score exceeds the marginal threshold. If the marginal score should not be used, its value is to be set to 1.     

Thinning from above 

Thinning from above follows the same algorithm as thinning from below. The only difference is that in this case different sub-groups are specified: (1+2) and 3. Tree selection starts in the group of dominant and co-dominant trees, and then proceeds in the sub-group of intermediate trees. It is also possible to use the marginal score of existence to specify the quality, as is for the thinning from below.

   Neutral thinning

The difference of this thinning compared to both above-mentioned thinnings is that all trees regardless of their biosociological position are ranked in ascending order of the score of existence (1+2+3+4), and the selection is performed from all classes en bloc. As no class has priority over the others, the neutrality of thinning is ensured. Also here the marginal score of existence can be applied.

Method of future crop trees 

This method is simulated in two phases: 

a) Selection of future crop trees (promising or target trees). The size of the selection is defined by the number of target trees using the variants E or F. The selection process is similar to the one for thinning from above except for the fact that the selection begins with the highest value of existence score and proceeds downwards to its lowest value. The specification of the sub-groups, and their sequency in the selection are the same as for thinning from above. Similarly as in the previous cases, the quality of future crop trees can be specified by the marginal score of existence. The existence score of promising and target trees must be equal to or greater than the specified marginal threshold. If the regulation of the selection by the marginal value is not desired, the marginal score has to be set to 0.  

b) Selection of thinned trees.It can be performed using one of the three alternative procedures. (1) In the first case, the clearing radius (G) around future crop trees is defined, and all trees inside the circle with the specified radius are removed (except for future crop trees). (2) The second alternative is based on the calculation of A-value (H) for each tree in relation to a future crop tree. The user specifies the number of removed trees per each future crop tree. Around every future crop tree, the required number of competitors with the highest A-value is removed. (3) The last variant uses the intensity defined by A-value. For every tree, its marginal distance to the future crop tree is calculated (I). All trees situated at a shorter distance to future crop trees than the marginal distance are removed from the forest stand.      

Method of target diameter 

Target diameter (rotation dimension) and target percentage are the inputs of this model. First, the score of existence is calculated for every tree. Next, the percentage of removed trees is determined using the method of target removal percentage (J). Afterwards, trees are divided into two groups. The first group consists of trees with the diameter lower than dmax, while the second group comprises the trees with the diameter greater than dmax. Trees in the second group are ranked according to the value of existence score. The required number of trees with the lowest score are removed from the forest. The marginal existence score is excluded from this algorithm.  

Method of target frequency curve 

First, the score of existence is calculated for every tree in the simulation plot. Next, trees are distributed into diameter classes of 4cm width. Afterwards, numbers of trees removed from every diameter class are calculated (K). In each diameter class, trees are ranked according to the value of existence score. From every diameter class, the calculated number of trees with the lowest score is removed. The marginal existence score is excluded from this algorithm. 

Method of a cutting element

All trees inside the pre-defined cutting elements (L) are removed. In addition, it is possible to define minimum tree height a tree has to reach in order to be removed (e.g. as a protection of natural regeneration). 

Thinning by list

This thinning treatment is fully user-controlled. The selection is based on the tree list prepared by a user directly in the database (Table MARKS). The list can be edited in the database system manually, or interactively using virtual reality of the initial simulation plot.  

 


© Copyright doc. Ing. Marek Fabrika, PhD.

© Translated by Dr. Ing. Katarína Merganičová - FORIM